欢迎来到聊城烨宸管业有限公司网站!
全国咨询热线:15315727793
您的位置: 首页 > 新闻中心 > 行业新闻 > 正文
咨询热线15315727793
15563539924

无缝钢管外径尺寸,壁厚尺寸公差要求

作者: 时间:2023/2/6 15:36:27

无缝钢管外径尺寸,壁厚尺寸公差要求 


 根据中华人民共和国国家标准GB-17395-1988

    1 外径允许偏差

    表1 标准化外径允许偏差

    偏差等级

    标准化外径允许偏差

    D1

    ±1.5%,最小±0.75 mm

    D2

    ±1.0%。最小±0.50 mm

    D3

    ±0.75%.最小±0.30 mm

    D4

     ±0.50%。最小±0.10 mm

 

表5  非标准化外径允许偏差

    偏差等级

    非标准化外径允许偏差,%

    ND1

     +1.25

     -1.50

    ND2

    ±1.25

    ND3

     +1.25

     -1.O

    ND4

     ±0.8

    2.特殊用途的钢管和冷轧(拔)钢管外径允许偏差可采用绝对偏差。

    2.1壁厚允许偏差

    壁厚允许偏差分为标准化和非标准化两种.应优先选择标准化壁厚允许偏差(见表6)。

表6  壁厚允许偏差

偏差等级

壁厚允许偏差

S/D

0.1< S/D

O.05<S/D≤0.1

0.025<S/D≤0.05

S/D≤0.025

S1

±15%,最小±0.6 mm

S2

A

   ±12.5%,最小±0.4 mm

B

      +正偏差取决于重量要求

-12.5

S3

A

±10%,最小±0.2mm

B

±10%

±12.5%

±15%

最小±0.4mm

C

+正偏差取决于重量要求

                        -10%

S4

A

±7.5%,  最小±0.15 mm

B

    士7.5%  

士10%

±12.5%

±15%

最小士0.2 mm

S5

±5%,最小士0.10 mm

  注: S是钢管公称壁厚,D是钢管公称外径。   









 

    2.3.3.2推荐选用的非标准化壁厚允许偏差(见表7)。

偏差等级

非标准化壁厚允许偏差,%

NSl

+15

-12.5

NS2

+15

-10

NS3

 +12.5

-10

NS4

-12.5

-7.5

 

    2.3.3.3特殊用途的钢管和冷轧(拔)钢管壁厚允许偏差可采用绝对偏差。

    3长度

    3.1  通常长度:

    钢管一般以通常长度交货。通常长度应符合以下规定:

    热轧(扩)管:3000~12000 mm

    冷轧(拔)管:2000~10500 mm

热轧(扩)短尺管的长度不小于2 m.冷轧(拔)短尺管的长度不小于1 m,

    3.2定尺长度和倍尺长度:

    定尺长度和倍尺长度应在通常长度范围内.全长允许偏差分为三级(见表8)。每个倍尺长度按以下规定留出切口余量:

    外径≤159 mm:5~10 mm;

    外径>159 mm:10~15 mm。

表8  全长允许偏差

    全长允许偏差等级

    全长允许偏差.mrn

    Ll

    0~20

    L2

    0~10

    L3

    O~j

 

    3.3特殊用途的钢管.如不锈耐酸钢极薄壁钢管、小直径钢管等的长度要求可另行规定。

 

    4外形

    4.1弯曲度

钢管的弯曲度分为全长弯曲度和每米弯曲度两种。

    4.1.1  全长弯曲度

    对钢管全长测得的弯曲度称为全长弯曲度,全长弯曲度分为五级(见表9)。

    表9  全长弯曲度

弯曲度等级

全长弯曲度,%

不大于

E1

0.20

E2

0.1j

E3

0.10

E4

0.08..

E5

0.06——

 

 

    4.1.2每米弯曲度

    对钢管每米长度测量的弯曲度称为每米弯曲度。每米弯曲度分为五级(见表1(J)。

表10  每米弯曲度

弯曲度等级

每米弯曲度  mm/m

不大于

F1

3.0

F2

2.0

F3

1.5

F4

1.0

F5

0.5

 

    4.2椭圆度

    钢管的椭圆度分为四级(见表11)。

表11  钢管椭圆度

椭圆度等级

椭圆度不大于外径允许偏差 %

NRl

80

NR2

70

NR3

60

NR4

50

 

    5重量

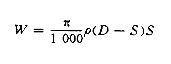
钢管按实际重量交货.也可按理论重量交货。实际重量交货可分为单根重量或每批重量两种。钢管每米的理论重量按式(1)计算:

  式中:W——钢管理论重量。kg/m;

    π=3.1416:

   ρ——钢的密度.kg/dm 3

    D——钢管公称外径,mm

S——钢管公称壁厚.mm。

5.1  按理论重量交货的钢管.单根钢管理论重量与实际重量的允许偏差分为五级(见表12)。

    表12  重量允许偏差

重量允许偏差等级

单根钢管重量允许偏差.%

W1

±10

W2

±7.5

W3

+10

-5

W4

+10

-5

W5

+6.5

-3.5

 

    5.2  按理论重量交货的钢管,每批不小于10 t钢管的理论重量与实际重量允许偏差为±7.5%或土5%。